1
/
of
12
Georetailer.com BUNDLE
Georetailer.com BUNDLE
Regular price
£23.99
Regular price
£33.99
Sale price
£23.99
Unit price
/
per
Couldn't load pickup availability
Distinction* Graded
Instant Download
Revisions Available
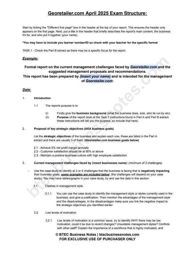
This bundle includes everything you need to achieve a Distinction in the upcoming BTEC Business Level 3 Unit 6 Principles of Management Georetailer.com exam on the 30th April 2025.
What's included:
- Distinction graded report example using the Georetailer.com case study
- Distinction graded presentation example using the Georetailer.com case study, this includes the speaker's notes for each slide
- 20+ pages of detailed Georetailer.com case study notes
- Exam structure - a 4 page document that has helped over 200 students
Save money and countless hours studying for the exam! This bundle includes everything you need to ace the Unit 6 Georetailer.com exam in April 2025!
Send an email to btecbusinessnotes@gmail.com if you have any questions.
Share











