Need Distinction* Notes?
| GSR Food Ltd
Find case study notes, exam structure and exam examples for the GSR Food Ltd case study in preparation for the upcoming January 2026 BTEC Business Level 3 Unit 6 Principles of Management exam!
-
SaleGSR Food Ltd BUNDLE
Regular price £24.99Regular priceUnit price / per£35.99Sale price £24.99Sale -
GSR Food Ltd Case Study Notes for Unit 6 Principles of Management Exam
Regular price £12.99Regular priceUnit price / perSale price £12.99 -
GSR Food Ltd Distinction Grade Report and Presentation Example
Regular price £12.99Regular priceUnit price / perSale price £12.99 -
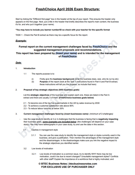
GSR Food Ltd January 2026 Exam Structure
Regular price £9.99Regular priceUnit price / perSale price £9.99
Why Choose Our Notes?
-
📚 Study Like a D* Student
Access the exact notes and resources that help students achieve top grades in BTEC Business.
-
⏰ Cut Your Study Time in Half
Skip the endless research and use our focused, exam-ready study materials.
-
🏆 Boost Your Grade Guaranteed
Use our notes verified and graded by BTEC Business teachers for guaranteed success.
| Student Favourites
Check out our highest-rated resources - the ones students love most. These top picks have proven results and are trusted by hundreds of BTEC Business students.
-
Georetailer.com BUNDLE
Regular price £23.99Regular priceUnit price / per£33.99Sale price £23.99Sale -
Georetailer.com April 2025 Exam Structure
Regular price £9.99Regular priceUnit price / perSale price £9.99 -
Exploring Business BUNDLE Assignment 1,2,3
Regular price £24.99Regular priceUnit price / per£35.99Sale price £24.99Sale -
Unit 2 Developing a Marketing Campaign MEGA BUNDLE
Regular price £29.99Regular priceUnit price / per£78.99Sale price £29.99Sale
Got Questions? We've Got Answers...
🤔 How Do I Get My Notes?
After purchase, you'll get instant access to download your materials directly from our secure webpage. Plus, we'll email you a permanent download link – download your materials whenever you need them, as many times as you want, forever.
📝 Are These Notes Really Worth It?
For the past 3 years, these notes have helped students achieve Distinction grades. Each resource is carefully designed with real exam examples, practice questions, and clear explanations. Students particularly love our Unit 6 Exam Structure guide, which has helped hundreds achieve top grades and maintains a 5-star rating.
✅ How Do I Know These Notes Are Quality?
Every resource, including mock exam examples, has been verified and graded by a BTEC Business Teacher at Distinction level. We don't publish anything that hasn't met our high-quality standards and proven to help students succeed.
🔄 Do You Update The Notes?
Yes! We regularly update our materials, with a special focus on Unit 6 resources during December and January in preparation for exams. When updates are made, you'll receive a notification via email or text letting you know your free update is ready to download. All updates are completely free for existing customers through your permanent download link.
📧 How Can I Get In Touch?
Have questions? We're here to help! Email us at btecbusinessnotes@gmail.com or use the chat box on our website for quick responses. We typically reply within 24 hours to ensure you get the support you need.
Student Reviews
Don't Miss Out
Subscribe to our emails to be the first to know when the 2025 Unit 6 case study notes and exam examples release, and get them 10% off!