Gale Papers Ltd May 2024 Exam Structure
Gale Papers Ltd May 2024 Exam Structure
Couldn't load pickup availability
Distinction* Graded
Instant Download
Revisions Available
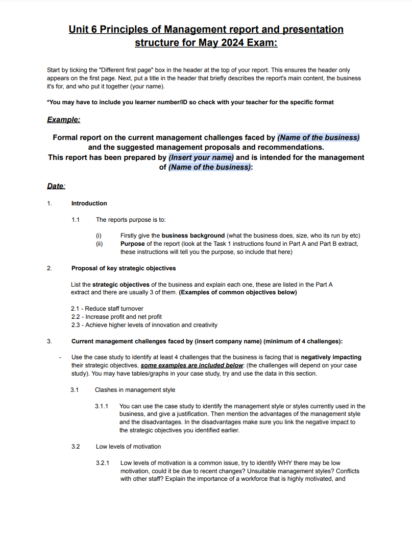
This 4 page document includes the exam structure for the BTEC Business Level 3 Unit 6 Principles of Management 2024 case study - Gale Papers Ltd.
Clearly sets out each section required for the report and presentation and what you have to include in each section to achieve a Distinction.
The document does include some examples of theory you can use, but is more focused on providing you with a solid structure for the exam.
Know how to exactly structure your report and presentation with this detailed guide and explained examples of how to apply the structure.
Often, students understand the Units content well but have no idea how to effectively structure their report & presentation, resulting in poor grades.
This document will teach you a solid structure to ensure you have no doubts going into the exam. Has helped over 140 students in the last few years and has been adapted for each case study!
Share

