Checkout the complete notes for Saxon Fields Theme Park Ltd!
Helped 140+ students in the last 3 years!
How do I get my purchase?
How do I get my purchase?
We use an app called Digital Downloads to fulfil all orders!
As soon as you place an order you will be redirected to a page where you can download your purchases, as well as an email containing permanent download links will be sent to you!
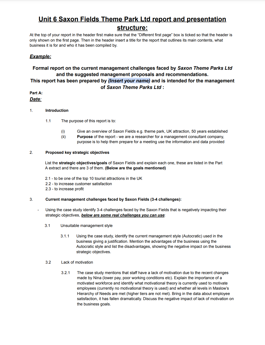
Exam Structure for Saxon Fields Theme Park Ltd
Exam Structure for Saxon Fields Theme Park Ltd
Couldn't load pickup availability
This 4 page document includes the exam structure for the BTEC Business Level 3 Unit 6 Principles of Management 2024 case study - Saxon Fields Theme Parks Ltd.
Clearly sets out each section required for the report and presentation and what you have to include in each section to achieve a Distinction.
The document does include some examples of theory you can use, but is more focused on providing you with a solid structure for the exam. If you want detailed notes about the Saxon Fields Theme Park Ltd case study checkout our Complete Notes document.
Know how to exactly structure your report and presentation with this detailed guide and explained examples of how to apply the structure.
Often, students understand the Units content well but have no idea how to effectively structure their report & presentation, resulting in poor grades.
This document will teach you a solid structure to ensure you have no doubts going into the exam. Has helped over 140 students in the last few years and has been adapted for each case study!
Distinction* Graded
Instant Download
Revisions Available
Share

